Submit Blog Post
Home
Blog
Sign Up
Sign In
Careers
Contact
Collin Morikawa jumps 14 world ranking spots to enter top-5 after AT&T Pebble Beach Pro-Am win
Eli Manning drops 2-word reaction as PFF ranks Giants great above Drew Brees, Tom Brady in major stat
Collin Morikawa jumps 14 world ranking spots to enter top-5 after AT&T Pebble Beach Pro-Am win
Eli Manning drops 2-word reaction as PFF ranks Giants great above Drew Brees, Tom Brady in major stat
Home
Blog
Sign Up
Sign In
Forum
Careers
Contact
A
Akhil Roni's
Essential Physics Words And Definitions
Essential Physics Words and Definitions
Rated
2.7/ 5
Updated
7 Years Ago
Blog by Akhil Roni
From
Rate Now
2.68/5
1
2
3
4
5
Conservation of Momentum | Physics Words
Updated 7 Years Ago
By
Akhil Roni
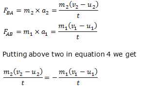
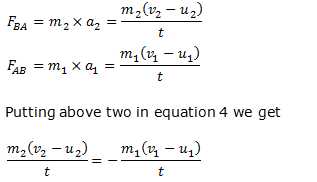
The law of conservation of momentum states that the sum of momenta of two objects before collision is equal to the sum of momenta after collision.
Read More
More Blog Posts By Akhil Roni
Kingdom Monera, Kingdom Protista And Kingdom Fungi | Physics Words
Image not available for this blogpost
Animal Tissues | Physics Words
Animal Tissues-nervous Tissue | Physics Words
Animal Tissues-muscle Tissue | Physics Words
Animal Tissues-connective Tissues | Physics Words
Animal Tissues-epithelial Tissues | Physics Words
Plant Tissues-complex Permanent Tissues | Physics Words
Plant Tissues-permanent Tissues | Physics Words
Plant Tissues-simple Permanent Tissues | Physics Words
Plant Tissues-meristematic Tissues | Physics Words
Tissues | Physics Words
The Universal Law Of Gravitation | Physics Words
Newton's Third Law Of Motion | Physics Words
TAGS
Physics
Biology
Science
New Blog Posts
Collin Morikawa jumps 14 world ranking spots to enter t
0
Eli Manning drops 2-word reaction as PFF ranks Giants g
0
BREAKING: Cody Rhodes Reacts After Suddenly Winning WWE
0
Will this still be called a rivalry?" - Aakash Chopra a
0
“It should be illegal” "Perfect storm for Fernando
0
3 AEW originals Tony Khan has clearly given up on and w
0
Fans accuse Jasontheween of "scripting" the "7 Days Str
0
"India's score was 88 when he got out after scoring 77
0
...