Submit Blog Post
Home
Blog
Sign Up
Sign In
Careers
Contact
The Jagat Shiromani Temple story - The History, Architecture & legacy of Meera Bai mandir in Amer, Jaipur - Thrilling Travel
Three travel tips for working professionals | Let's Expresso
The Jagat Shiromani Temple story - The History, Architecture & legacy of Meera Bai mandir in Amer, Jaipur - Thrilling Travel
Three travel tips for working professionals | Let's Expresso
Home
Blog
Sign Up
Sign In
Forum
Careers
Contact
R
Renu Kumari's
Mba Scope, Mba Projects, Mba Guide
Find MBA Projects, Learn How MBA is useful, Complete
guidance of MBA
Rated
1.8/ 5
Updated
7 Years Ago
Blog by Renu Kumari
From Ranchi
Rate Now
1.75/5
1
2
3
4
5
Recent blog posts from
Mba Scope, Mba Projects, Mba Guide
Top 10 MBA Streams for Career
Itsaboutmba is place where every aspects of MBA is discussed. It is very useful for students....
7 Years Ago
Complete Information about MBA And How It Do (For Hindi Students Also)
Itsaboutmba is place where every aspects of MBA is discussed. It is very useful for students....
8 Years Ago
How do I get a career in part time MBA?
Itsaboutmba is place where every aspects of MBA is discussed. It is very useful for students....
8 Years Ago
How to plan MBA from Abroad
Itsaboutmba is place where every aspects of MBA is discussed. It is very useful for students....
8 Years Ago
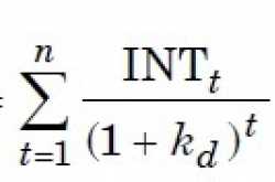
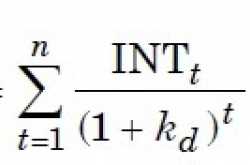
Discount Rate, Yield to Maturity, Value of the Share, E/P Ratio and Ke
Itsaboutmba is place where every aspects of MBA is discussed. It is very useful for students....
8 Years Ago
Time Value For Money, Risk Premimum, Interest Rate, Capital Recovery
Itsaboutmba is place where every aspects of MBA is discussed. It is very useful for students....
8 Years Ago
TAGS
MBA
Education
Project
MBA SCOPE
GUIDE MBA
New Blog Posts
The Jagat Shiromani Temple story - The History, Archi
0
Three travel tips for working professionals | Let's Exp
0
Imperfect Women season 1 episode 6 release date and tim
0
PICTURES: Coco Gauff, Iga Swiatek, Alexandra Eala & oth
0
4 Mistakes WWE made on RAW before WrestleMania 42
0
Hacks season 5 episode 2 release date and time, what's
0
"How the hell he healthy?:" Stephen A. Smith praises Le
0
"He was cheating with five other e-girls": Jasontheween
0
More Bloggers
N
Navin Shetty
Y
Yashraj Kakkad
B
Binary Baba
Partha Sadhukhan
S
Sudhir Ramakrishnan
R
Rajalakshmi Murali
S
Sharad Chhetri
S
Sayali Bedekar Patil
V
Varun Yuvraj
Harshil
Setwebtech Blogger
V
Vaghesh Ashok Salunkhe
K
Kk
M
Mnau Jamwal
K
Kushal Khare
S
Shyamanta Baruah
...